26 styczeń 2023
ZESPÓŁ FILTRA CZĄSTEK STAŁYCH TŁUMIKA
Aby opisać tytułowe układy wpływające na skład spalin konieczne jest omówienie podstaw. Mieszanka paliwa z powietrzem w silniku spalinowym musi mieć odpowiednie proporcje, aby spalanie było najbardziej efektywne. Z wielu przeprowadzonych analiz udało się wyciągnąć wnioski mówiące, że na spalenie 1 kg oleju napędowego potrzebne jest dodanie do mieszanki 14,5 kg powietrza. W przypadku silnika z zapłonem iskrowym na 1 kg benzyny potrzeba 14,7 kg powietrza. Taka ilość tlenu zawartego w powietrzu gwarantuje dokładne utlenienie związków chemicznych zawartych w paliwie. Należy pamiętać o tym, że jest to sytuacja idealna i praktycznie nigdy nie osiągalna w normalnej eksploatacji, kiedy pojazd porusza się z różnym obciążeniem, różną prędkością i różnym przyspieszeniem. W czasie jazdy parametry obciążenia silnika zmieniają się dynamicznie powodując, że mieszanka paliwowo-powietrzna nie jest spalana w sposób idealny.
Znaczenie współczynnika lambda
Współczynnik lambda jest podstawową wielkością charakteryzującą skład mieszanki paliwowo-powietrznej. Jest to stosunek rzeczywistej masy powietrza, w której spalane jest paliwo, do ilości potrzebnej do całkowitego jego spalenia (ilość stechiometryczna). Stechiometryczną ilość powietrza można obliczyć przez równania reakcji chemicznych.
W przypadku, gdy w spalaniu bierze udział dokładnie stechiometryczna ilość powietrza, mówimy, że współczynnik lambda (λ) równy jest 1. Jeśli powietrza jest w mieszance zbyt dużo, to mamy do czynienia z mieszanką ubogą i wartością λ>1. Jeśli mieszanka jest bogata, czyli występuje w niej nadmiar paliwa, to mówimy o współczynniku λ<1.
Wynika to ze wzoru na współczynnik λ:
gdzie:
L – rzeczywista masa suchego powietrza, w którym następuje spalanie paliwa,
Lt – teoretyczne zapotrzebowanie na suche powietrze.
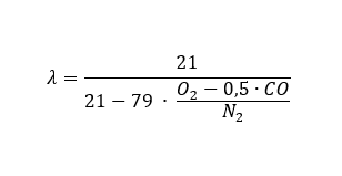
Współczynnik λ może być też obliczony na podstawie analizy spalin. W tym celu korzysta się z następującego algorytmu:
gdzie:
O2, N2, CO– odział objętościowy danych gazów w spalinach.
Silniki o zapłonie iskrowym nie pracują dobrze na mieszankach ubogich. W takim przypadku podwyższa się temperatura spalin, a sam proces spalania dawki paliwa jest wydłużony. To powoduje znaczny wzrost temperatury między innymi na wszystkich przeszkodach stojących na drodze gazów wylotowych, czyli przede wszystkim w okolicach gniazd zaworów i zaworów wydechowych skutkując ich zwiększonym obciążeniem cieplnym i ryzykiem trwałego uszkodzenia.
W silniku wysokoprężnym sam współczynnik nadmiaru powietrza nie jest tak istotny – tu zapłon paliwa następuje samoczynnie a silnik cały czas pracuje na mieszance ubogiej. Duży udział tlenu w masie spalanego ładunku sprzyja powstawaniu tlenków azotu (NOx), co eliminuje się poprzez układy recyrkulacji spalin EGR (Exhaust Gas Recirculation).
Ilustracja 1. Zmiana składu spalin w zależności od współczynnika lambda.
Źródło: Motofaktor.pl
Rola zaworu EGR
Podczas procesu spalania wytwarzane są tlenki azotu (NOx). Powstają one, gdy wysoka temperatura spalania umożliwia połączenie azotu i tlenu obecnych w mieszance paliwowo-powietrznej. Aby ograniczyć emisję tych szkodliwych substancji, zawór EGR odbiera spaliny z kolektora wydechowego i wprowadza je ponownie do kolektora dolotowego, mieszając je ze świeżym powietrzem. Powoduje to zmniejszenie ilości tlenu w powietrzu zasysanym przez silnik, co skutkuje obniżeniem temperatury spalania i w efekcie obniżeniem emisji tlenków azotu w spalinach.
Popularny zatem zabieg odłączenia zaworu EGR powoduje, że silnik staje się bardziej obciążony cieplnie, a podczas kontroli spalin wykazana zostanie ponadnormatywna emisja tlenków azotu NOx.
DPF – filtr sadzy
Filtr DPF jest mechanicznym filtrem, w którym zatrzymywane są cząstki sadzy i inne węglowodory powstałe w wyniku niepełnego spalenia paliwa. Jego struktura nie pozwala na przedostanie się cząstek stałych, ale pozwala na przedostanie się gazów spalinowych.
W miarę gromadzenia się cząstek stałych w filtrze zmienia się jego przepustowość. W związku z tym konieczne jest usuwanie zgromadzonych w nim zanieczyszczeń. Konieczność udrożnienia filtra określa się na podstawie pomiaru ciśnienia spalin przed filtrem i za nim. Jeśli różnica przekracza ustalone przez producenta granice, aktywuje się procedura regeneracji filtra cząstek stałych.
Aby utlenić zgromadzoną sadze konieczne jest utrzymanie temperatury filtra na poziomie 500˚C. W tej temperaturze następuje utlenianie węglowodorów. Jeśli jednak temperatura ta nie zostanie osiągnięta – sterownik silnika wymusi cykl regeneracyjny przez odpowiednie wysterowanie wtrysku paliwa tak, aby podnieść temperaturę filtra. W czasie jazdy w trasie nie jest to konieczne, ponieważ filtr jest nagrzewany spalinami, które przez niego przepływają. Na zapchanie się filtra cząstek stałych największy wpływ ma nieprawidłowa praca systemu samooczyszczania spalin (czujników temperatury, czujnika różnicy ciśnień, sonda lambda), uszkodzenie silnika i tzw. branie oleju. Niesprawny układ wtryskowy, układ turbosprężarki, nieszczelności na dolocie powietrza, zawór EGR, recyrkulacja spalin, a także jazda na krótkich dystansach.
Ilustracja 2. Zasada działania filtra DPF polega na wyłapywaniu sadzy i przepuszczaniu tylko gazów.
Źródło: Motofaktor.pl
Skoro jest EGR i DPF to po co SCR?
Recyrkulacja spalin zazwyczaj nie wystarcza do dostatecznej redukcji ilości związków azotu zawartych w spalinach. Dlatego też wprowadzono system redukcji katalitycznej (selective catalytic reduction – SCR), która polega na hydrolizie. Dzięki mieszaniu spalin z 32% roztworem mocznika (płyn AdBlue) i doprowadzeniu tak powstałej mieszanki do katalizatora redukującego, opartego na związkach tytanu, wolframu i wanadu, możliwe jest przekształcenie jej w azot i wodę w postaci pary.
Pod wpływem wysokiej temperatury, występującej w układzie wydechowym, mocznik zmienia się w amoniak i dwutlenek węgla. W katalizatorze następuje reakcja amoniaku z tlenkami azotu, w wyniku czego zostają one zmienione w lotny azot i parę wodną.
Filtr SCR znajduje się za filtrem DPF i jest wyposażony w czujnik NOX na wejściu i na wyjściu. Zadaniem czujnika na wyjściu jest monitorowanie działania katalizatora SCR, a czujnik na wejściu dokonuje pomiaru ilości szkodliwych substancji przed wejściem spalin do układu SCR. Na podstawie różnicy odczytów obydwu czujników sterownik oblicza ilość płynu AdBlue, który zostanie wtryśnięty do układu wydechowego.
System SCR podłączony jest do systemu diagnostyki pokładowej. Dzięki temu kierowca jest informowany o konieczności uzupełnienia środka AdBlue w zbiorniku oraz o przekroczeniu zawartości szkodliwych substancji w spalinach.
Ilustracja 3. W filtrze SCR następuje przekształcenie mocznika i tlenków azotu w azot, dwutlenek węgla i wodę w postaci pary.
Źródło: AdBlue4You
Problemy z AdBlue
Roztwór mocznika nie jest odporny na niskie temperatury. Zamarza już przy –11,5°C. Z tego powodu pojawiają się problemy eksploatacyjne polegające na zamarzaniu płyny w przewodach i zbiorniku, mimo że często występuje w obiegu podgrzewacz. Zamarznięcie płynu AdBlue w przewodach może wiązać się z ich uszkodzeniem. Nieszczelność układu jest łatwa do zidentyfikowania, ponieważ w jej okolicy pojawia się biały, krystaliczny osad, powstający z mocznika.
W związku z problemami eksploatacyjnymi na rynku dostępne są usługi „wyłączenia” systemu SCR lub emulowania jego działania. Efektem będzie zwiększona emisja związków azotu.
Ponadto korzystanie z tego typu udogodnień jest jednak obarczone ryzykiem mandatu oraz zatrzymania dowodu rejestracyjnego.
ARTYKUŁ POWSTAŁ WE WSPÓŁPRACY Z REDAKCJĄ:







